
The APP offers participating universities no-cost licenses of engineering software programs VABS and SwiftComp so students, researchers, and faculty can leverage the tools in their academic research.
The VABS program is a general-purpose cross-sectional analysis tool for predicting structural beam properties and recovering 3D stresses, strains, and strengths of slender composite structures. It is a powerful tool for modelling composite rotorcraft (helicopter, air mobility, unmanned aerial vehicles) and wind turbine rotor blades, as well as other slender composite structures, such as propellers, landing gear, and high-aspect ratio wings. iVABS is a VABS-based structural design framework, enables VABS for design and optimisation, parametric studies, and uncertainty quantifications in a user-friendly way. This framework bundles PreVABS, VABS, GEBT, and third-party tool Dakota, along with Python for integration among these codes and other codes.
“We are excited by the work being done by the VLRCOE at Penn State and pleased they have found VABS helpful as they further advance the iVABS platform,” said Allan Wood, President & CEO of AnalySwift. “As a versatile cross sectional analysis tool, VABS delivers high-fidelity results early on to help computationally resolve engineering challenges, reduce trial and errors, and arrive at the best solution more quickly.”
Full-scale composite rotor blade optimisation with manufacture awareness
“The optimisation of rotor blade design plays a critical role in improving overall rotorcraft performance,” said Jiwoo Song, who is pursuing a PhD degree in aerospace engineering at Penn State. “Recent advancements in computational toolchains, such as iVABS, enable rapid exploration of design spaces while satisfying prescribed performance objectives. The goal of the project is to achieve a design-to-production capability by developing a drastically more manufacturing-aware iVABS blade design framework. Looking ahead, this project aims to move beyond virtual optimisation into physical realisation, with plans to fabricate a composite rotor blade in collaboration with the Penn State Applied Research Laboratory, validating the computational design process through experimental testing.”
“The VABS software has been central to my research in rotor blade structural optimisation,” continued Song. “Its high-fidelity cross-sectional analysis capability allows me to rapidly compute stiffness, mass, and coupling properties for complex, realistic blade geometries. By employing the iVABS design framework, we have been able to evaluate large numbers of candidate designs efficiently, narrowing down to configurations that meet demanding structural targets such as stiffnesses, strength constraints, and weight requirements. This level of accuracy and computational speed would be extremely challenging to achieve with traditional 3D finite element modelling alone.”
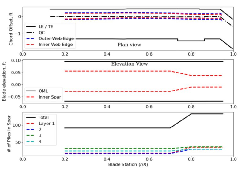
“In the current phase of the project, VABS/iVABS is being used to incorporate manufacturing constraints directly into the design process, enabling more realistic geometry parameterisation,” said Song. “The blade template includes features such as rounded spar corners, airfoil trailing-edge treatment, continuous skin laminates, and variable spar thickness along the span. These details not only improve structural fidelity in the analysis but also make the designs more directly transferrable into manufacturable hardware.”




Integrated design-manufacture-test campaign of composite rotor blade
“Coupling the iVABS design framework, manufacturing processes, and experimental procedures is essential for achieving realistic blade designs that perform as predicted,” said Brett Dalrymple, graduate student in the PSU VLRCOE and recipient of the SMART Fellowship. “Prior to developing a full-scale blade, the team fabricated a composite spar using aerospace-grade carbon fibre prepreg materials assembled from an iVABS-derived stacking sequence to validate the manufacturing methodology. After fabrication, the spar was tested to determine cross-sectional and spanwise properties while establishing confidence in the iVABS optimiser by comparing the experimental and analytical results.”
“Future work will expand this effort by modelling, fabricating, and validating progressively higher-complexity spar configurations, building towards a representative blade section with elements such as an outer composite skin and sandwich core section aft of the spar,” said Michael Sheppard, graduate student in the PSU Applied Research Lab. “At each phase, experimental measurements will be used to verify and refine the computational results to achieve the desired product. The iVABS framework has also been instrumental in predicting failure loads prior to physical testing, enabling informed experimental planning while strengthening the correlation between analysis and testing.”
“The VABS program is a uniquely powerful tool for modelling composite blades, high aspect ratio wings, and other slender structures, commonly called beams,” said Dr Wenbin Yu, CTO of AnalySwift. “VABS reduces analysis time from hours to seconds by quickly and easily achieving the accuracy of detailed 3D Finite Element Analysis (FEA) with the efficiency of simple engineering models. With VABS, engineers can calculate the most accurate, complete set of sectional properties such as torsional stiffness, shear stiffness, shear centre for composite beams made with arbitrary cross-section and arbitrary material. It can also predict accurate detailed stress distribution for composite beams, which are usually not possible with 3D FEA for realistic composite structures.”




??Lu public network security: 37140202000173


